近期,中国科学院凯发k8官网地质古生物研究所副研究员李子波与凯发k8官网教授陆现彩等通过实验研究了真菌与老化橄榄石和利蛇纹石的相互作用,揭示了真菌菌丝能够促进硅酸盐矿物的风化。
在微生物-矿物的相互作用过程中,矿物为微生物的生长和代谢提供能量和养分,而微生物则通过代谢活动改变矿物的溶解、转化和生成过程。这种交互作用发生在单细胞水平的微观界面上,塑造了微生物的进化和矿物的演变,并对地质事件、生物地球化学循环和矿床形成等产生了深远的影响。

真菌是地球上最古老且多样性最显著的生物类群之一,其独特之处在于其菌丝的顶端延长生长模式。这种生长方式使真菌菌丝顶端能够产生高达10?20 μN/μM2的膨胀力,能够深入探索和侵入周围环境。近年来,研究真菌在地质和地球化学过程中的作用逐渐形成了一个新兴学科——地质真菌学。
前人研究发现,真菌能够显著加速硅酸盐矿物的风化并形成溶蚀孔洞,真菌菌丝顶端的生物物理力可以直接破坏矿物的晶体结构,随之而来的代谢产物(如质子、有机酸和铁载体)的生物化学作用导致元素的溶解和迁移,这两种力协同作用有效促进矿物的风化。
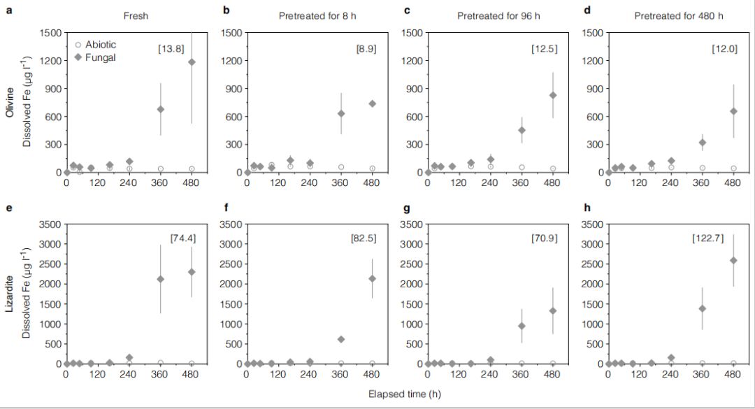
李子波等前期的研究也发现,真菌菌丝与矿物接触时会主动启动风化作用,并进一步证明真菌菌丝顶端的生物物理力对风化程度至关重要。然而,几乎所有的相关研究都集中在新鲜硅酸盐矿物上,而对拥有改变层(富Si沉积层)的老化矿物的风化作用却知之甚少。实际上,改变层在硅酸盐矿物溶解过程中快速形成,继而显著抑制无菌条件下矿物的进一步溶解,但真菌对老化硅酸盐矿物的风化作用至今未见报道。
针对这一问题,李子波等通过实验研究取得重要发现:真菌能够显著提高老化硅酸盐矿物的溶解速率;真菌菌丝能够穿透改变层并刻蚀其下新鲜矿物;真菌能够促进改变层内物质和能量的扩散。
相关研究证明,真菌会主动根据环境中营养元素的生物有效性调节其生长行为,通过刻蚀和侵入作用有效破坏改变层。在菌丝生物物理力破坏改变层下,包括质子、小分子络合物和活性氧物质(ROS)在内的代谢产物,及矿物中溶解的阳离子能够在改变层中高效扩散,继而持续促进硅酸盐矿物的风化。
该研究不仅深化了对微生物调控的重要地质和地球化学过程的理解,还为矿物生命痕迹的探寻提供重要的理论基础。该研究工作得到国家自然科学基金重大项目、国家自然科学基金面上项目和国家自然科学基金重点项目的共同资助。相关研究成果最近发表在自然指数期刊《地球物理研究通讯》(Geophysical Research Letters)上。
(中国科学院凯发k8官网地质古生物研究所供图)